
Geschreven door Nathalie Kerkdijk, Content Specialist bij Personal Body Plan.
Testosteron is het belangrijkste mannelijke geslachtshormoon en wordt bij mannen vooral in de testikels aangemaakt. Het is verantwoordelijk voor mannelijke geslachtskenmerken, spiergroei, libido, DHT-vorming en talgproductie. Testosteron ondersteunt spiergroei door de eiwitsynthese te stimuleren, spierafbraak te verminderen en bij te dragen aan meer spiermassa, kracht, uithoudingsvermogen en herstel.
Lange tijd werd gedacht dat testosteron en groeihormoon de belangrijkste drijvers van spiergroei waren. Hoge doses synthetisch testosteron leiden tot aanzienlijke spierhypertrofie, zelfs zonder training, terwijl een tekort spierverlies veroorzaakt. Bij krachtsporters kunnen injecties leiden tot extreem verhoogde testosteronspiegels en grote spiergroei. De natuurlijke stijging van testosteron door krachttraining is tijdelijk. Groeihormoon stijgt door training, hardlopen of vasten, maar dit leidt bij gezonde mensen niet tot meer spiermassa of kracht. Eventuele toename in vetvrije massa door groeihormoon komt door bindweefselgroei en vochtretentie, niet door spiergroei.
Testosterontherapie, of TRT, is een medische behandeling voor mannen met een vastgesteld tekort, meestal boven de 50 jaar. Het kan klachten zoals laag libido, spierverlies en vermoeidheid verminderen, maar brengt risico’s met zich mee en moet onder medisch toezicht worden gebruikt. Testosteronboosters zijn supplementen die spier- en krachttoename beloven, maar de meeste ingrediënten zijn niet effectief. Eventuele voordelen lijken vooral voort te komen uit het corrigeren van voedingstekorten, niet uit een daadwerkelijke verhoging van testosteron.
Het gebruik van testosteron, zowel via therapie als supplementen, kan ernstige bijwerkingen hebben, zoals hormonale verstoringen, huidproblemen, verminderde vruchtbaarheid, hart- en vaatrisico’s, psychische klachten en haaruitval. Bewustzijn van deze risico’s is daarom belangrijk.
Voor de meeste mannen zonder tekort zijn natuurlijke methoden effectiever om het testosteron gezond te houden. Regelmatig bewegen, vooral krachttraining, helpt het testosterongehalte op peil te houden, net als een gezond lichaamsgewicht. Chronisch slaaptekort kan testosteron aanzienlijk verlagen, terwijl een gevarieerd dieet met voldoende eiwitten, gezonde vetten en micronutriënten zoals zink, magnesium en vitamines de hormoonbalans ondersteunt. Extreem koolhydraatarme of vetarme diëten en langdurige caloriebeperkingen kunnen testosteron verlagen, vooral bij mensen die al lagere waarden hebben. Stress kan testosteron verminderen omdat het de hypothalamus-hypofyse-gondale (HPG)-as verstoort, wat de manier is waarop het lichaam de testikels aanstuurt om testosteron te produceren. Ook schadelijke stoffen zoals BPA kunnen een negatief effect hebben.
Een evenwichtige verdeling van macronutriënten helpt om testosteron op peil te houden: eiwitten, gezonde vetten, vezels en koolhydraten. Bij mannen met overgewicht kan afvallen een positief effect hebben, terwijl een groot en langdurig energietekort bij mannen met een gezond gewicht testosteron kan verlagen. Cholesterol is een bouwsteen voor testosteron, maar extra cholesterol via voeding verhoogt het hormoon niet, en cafeïne lijkt geen significant effect te hebben.
Al deze factoren laten zien dat testosteron belangrijk is, maar dat spiergroei en hormoonbalans worden beïnvloed door meerdere elementen zoals training, voeding, slaap, stress en leefstijl. Het directe effect van hormonen op spiergroei blijkt beperkt, terwijl natuurlijke leefstijlfactoren een grote rol spelen bij het behouden van gezonde testosteronwaarden en optimale prestaties.
Ben je ze wel eens tegengekomen? Testosteronboosters worden in de fitnesswereld steeds populairder. Testosteron, het mannelijke geslachtshormoon, wordt beschouwd als één van de belangrijkste hormonen die de eiwitsynthese en spiergroei stimuleren. Dit is dan ook de reden dat bodybuilders, maar ook beginnend krachtsporters gebruikmaken van testosteronboosters of testosterontherapie om hun spiermassa te vergroten. Maar kan dat eigenlijk wel?
Testosteron is het belangrijkste androgeen (mannelijke geslachtshormoon). Mannen hebben veel meer testosteron dan vrouwen. Dit mannelijke geslachtshormoon wordt bij mannen voornamelijk geproduceerd in de teelballen, maar verder ook in de bijnieren (ongeveer 7mg/dag). Voor vrouwen wordt dit in veel kleinere hoeveelheden gemaakt in de eierstokken en de bijnieren (ongeveer 1-2 mg per dag).
Het hormoon is verantwoordelijk voor de ontwikkeling van de mannelijke primaire geslachtskenmerken. Zonder testosteron ontwikkelt een embryo zich vrouwelijk. Daarnaast zorgt testosteron er in de pubertijd voor dat de secundaire geslachtskenmerken bij mannen wordt ontwikkeld. Dit zorgt onder andere voor die bekende ‘baard in de keel’, maar ook voor baardgroei.
Daarnaast heeft het invloed op dihydrotestosteron (DHT), wat weer invloed heeft op hoofdhaar bij mannen. DHT is een sterk androgeen hormoon dat vanuit testosteron aangemaakt wordt. Het speelt vooral een rol tijdens de pubertijd waarin veel mannelijke kenmerken tot ontwikkeling komen. Dit hormoon speelt hoogstwaarschijnlijk dan ook een rol bij kaalheid bij mannen. Je genetische aanleg zal uiteindelijk bepalen hoe gevoelig de haarzakjes zijn voor DHT en of je dus kaal wordt.
Verder heeft het andere functies waaronder de groei van skeletspieren én het heeft een grote invloed op het libido bij mannen en vrouwen. Bovendien verandert het de talgproductie, dit is één van de oorzaken van acne [1].
Testosteron heeft verschillende functies in het lichaam waarvan sommige direct verband houden met spieropbouw en hypertrofie (spiergroei):
Veel mensen dachten lange tijd dat hormonen de belangrijkste drijvende krachten waren achter spierontwikkeling. Testosteron en groeihormoon werden beschouwd als de belangrijkste hormonen die de eiwitsynthese en spiergroei stimuleerden. Onderzoek toonde aan dat verhoogde niveaus van deze hormonen verband hielden met verbeterde spiergroei. [14]
Het gebruik van anabole steroïden, synthetische vormen van testosteron, werd wijdverspreid in de sportwereld om zo de spiergroei te bevorderen en de fysieke prestaties te verbeteren. Dit gebeurt omdat anabole steroïden synthetische varianten van het mannelijke geslachtshormoon testosteron zijn, en testosteron een cruciale rol speelt bij de regulatie van spiermassa en kracht in het lichaam [15] [16].
Onderzoek laat zien dat wekelijkse injecties van 600 mg testosteron enanthaat na tien weken zorgden voor meer dan drie kilogram extra spiermassa bij een groep die geen krachttraining deed [41]. Aan de andere kant verliezen mensen met een chronisch tekort aan testosteron en groeihormoon juist spiermassa, maar kan behandeling met testosteron in dit geval de verhouding tussen spiermassa en vetmassa normaliseren [41] [43].
Bij krachtsporters die testosteron injecteren, leidt de hoge dosering tot veel meer spiergroei. Wekelijks 600 milligram testosteron resulteert in testosteronspiegels van wel zes keer zo hoog als normaal. Dit leidt tot aanzienlijke spierhypertrofie en een toename van 7.9 kilogram spiermassa na 20 weken [44]. Krachttraining verhoogt de testosteronniveaus tijdelijk met 1,25 tot 2 keer de normale waarde, maar deze niveaus dalen binnen 30 tot 60 minuten weer naar normaal [45]. Afhankelijk van het type testosteron dat geïnjecteerd wordt, kunnen de verhoogde niveaus wel tot een week aanhouden.
Dan is er ook nog groeihormoon, de naam suggereert al dat het hormoon zou moeten zorgen voor spiergroei. Veel bodybuilders gebruiken het hormoon dan ook om spiermassa te vergroten. Het klopt inderdaad dat intensieve krachttraining ervoor kan zorgen dat de groeihormoonwaarden tijdelijk verhogen [46], maar dit leidt niet tot meer spiermassa of kracht. Wel kunnen injecties met groeihormoon de balans tussen vetvrije massa en vetmassa verbeteren bij mensen met een chronisch tekort aan groeihormoon. Juich hierbij niet te vroeg, want deze toename in vetvrije massa komt niet door spiergroei. In plaats daarvan is dit het gevolg van een verhoogde eiwitsynthese, wat leidt tot hypertrofie van bindweefsel en veranderingen in de vochtregulatie door de nieren, wat resulteert in vochtretentie [46] [47].
Uit onderzoek blijkt dus dat verhoogde groeihormoonwaarden tijdens een training niet voor meer spiermassa of kracht zorgen, vergeleken met een placebo [48] [49] [50]. Bovendien hebben gezonde mannen helemaal geen baat bij groeihormooninjecties. Deze injecties zullen namelijk helemaal geen positief effect hebben op spiermassa, kracht of eiwitsynthese in de spieren [51]. Interessant genoeg kunnen activiteiten zoals een uur hardlopen de groeihormoonconcentraties met 600% verhogen en zelfs vasten kan groeihormoon verhogen [52] [53]. Beide activiteiten worden echter niet geassocieerd met spiergroei en worden vaak vermeden in programma’s gericht op hormonale optimalisatie voor spiergroei.
Testosterontherapie, of in het Engels Testosteron Replacement Therapy (TRT), is een medische behandeling die wordt ingezet om mannen met lage testosteronniveaus te helpen. Meestal wordt deze therapie toegepast bij mannen boven de 50 jaar oud. Er zijn uitzonderingen, want ook jonge mannen kunnen onder bepaalde omstandigheden baat hebben bij testosteronvervangingstherapie.
Zoals je hierboven hebt kunnen lezen, kan een laag testosteronniveau allerlei vervelende symptomen met zich meebrengen. Denk aan een verminderd libido, spiermassaverlies of vermoeidheid. Bij testosterontherapie wordt er extra testosteron toegediend om de testosteronniveaus weer naar een gezonder bereik te brengen. Dit kan de symptomen van een laag testosteronniveau verhelpen, waardoor voordelen optreden als een verbeterd libido, herstel van spiermassa en een verhoogd energieniveau. Testosterontherapie kan toegediend worden via injecties, gels, pleisters, capsules of implantaten.
Testosterontherapie is niet zonder risico’s (hierover later meer) en daarom is het essentieel dat de behandeling onder toezicht en na goedkeuring van een arts wordt uitgevoerd. Deze arts kan dan regelmatig de hormoonspiegels controleren en aanpassen wanneer dit nodig is. Testosterontherapie dient dan ook alleen medisch gebruikt te worden om testosterontekorten te behandelen, het is geen methode om bodybuilders gespierder te laten worden. Ondanks dat, worden de medicijnen toch veel gebruikt voor mannen zonder daadwerkelijke testosterontekorten. Dit komt omdat ze nu overal op het internet verkrijgbaar zijn en het genormaliseerd is vanwege de toegankelijkheid. Het zichtbare bewijs van de effectiviteit van testosteronboosters, is tegenwoordig te zien in menig sportschool, of wordt besproken op bodybuildingforums. Logischerwijs leidt dit ertoe dat steeds meer gezonde mannen testosterontherapie overwegen door de belofte om sneller gespierd te worden, meer energie te hebben en sneller te herstellen.
Testosteronboosters zijn supplementen die op de markt zijn gebracht om sporters in een korte tijd sterker en gespierder te maken. Doordat het hormoon testosteron een belangrijke rol speelt in de ontwikkeling van spieren, botdichtheid, libido en algemene gezondheid bij mannen en vrouwen, wordt het verhogen van testosteron steeds populairder. Voor mensen die geen anabole steroïden willen gebruiken, maar wel hetzelfde effect willen krijgen als anabolen, lijkt dit de perfecte uitkomst te zijn.
Er zijn door de jaren heen al verschillende testosteronboosters op de markt gebracht. Allemaal met verschillende ingrediënten. Zo zijn er testosteronmedicijnen met ingrediënten als maca (een plant afkomstig uit het Andesgebergte in Peru), longjack (de wortels van een struik die voornamelijk in Zuidoost-Azië groeit), tribulus (deze plant groeit in veel delen van de wereld) en d-asparaginezuur (een lichaamseigen aminozuur dat een rol speelt in de productie van hormonen, waaronder testosteron). Helaas bleken geen van de testosteronboosters met deze ingrediënten echt effectief te zijn. [5][6].
Onderzoek naar een testosteronbooster met het ingrediënt dioscorea esculenta suggereert dat de kracht en hypertrofie verbetert door het dihydrotestosteron niveau bij atleten te herstellen [5] [6]. Discorea esculenta is een soort yam (knolgewas) die in tropische gebieden wordt verbouwd. Deze nieuwe testosteronbooster met dit ingrediënt, lijkt dus effectief te zijn voor het verhogen van testosteron. Toch moeten we hier ook echt sceptisch over zijn.
Aan de hand van dit onderzoek is het moeilijk om te zeggen of het vrij nieuwe supplement met dioscorea esculenta effectief is voor het verhogen van testosteron. Dit komt doordat deelnemers van het onderzoek zeer lage lichaamsvetpercentages hadden, wat het onderzoek mogelijk minder betrouwbaar maakt [6]. Hoe representatief zijn deze resultaten dan voor de gemiddelde sporter?
Bovendien is het onderzoek uitgevoerd onder een zeer kleine steekproefgrootte van slechts zeven deelnemers per groep. Hierdoor weet je niet of de resultaten echt betrouwbaar zijn of dat het puur toeval is. Ook zijn er andere onduidelijkheden in de resultaten van het onderzoek. Voor een definitieve conclusie is er meer en beter uitgevoerd onderzoek nodig naar de effecten van discorea esculenta op het verhogen van testosteron [6].
Bovendien lijken de testosteronboosters die wel effect hebben op het verhogen van testosteron, dat vooral te doen door een tekort aan voedingsstoffen te corrigeren. Zelfs als er een voordeel is voor de lichaamssamenstelling of prestaties, heeft dit eerder te maken met het corrigeren van het tekort en blijkt er geen verband te zijn met testosteron [5].
Het probleem met testosteron verhogende supplementen, is dat je hiervoor niet eens meer naar de dokter hoeft te gaan. Jonge gebruikers beginnen met het gebruiken van testosteron doordat ze het op TikTok, YouTube of Instagram voorbij hebben zien komen. Ook doen er tal van forums de ronde waarop bodybuilders het gebruik van testosteron verheerlijken. Ja, de risico’s worden besproken, maar veel gebruikers denken vaak dat deze risico’s tijdelijk zullen zijn, en dat deze vooral optreden op de korte termijn. Bovendien doen er slogans de ronde als “Leef groot, sterf groot, laat een gigantische kist achter”. Dit soort heftige slogans lijken de normaalste zaak van de wereld op forums over testosterongebruik. Het snel opbouwen van veel spiermassa lijkt belangrijker te zijn dan de eventuele consequenties die het gebruik ervan met zich meebrengen.
Toch kunnen de bijwerkingen en mogelijke risico’s van het gebruik van testosteron behoorlijk heftig zijn, vooral wanneer het niet medisch noodzakelijk is. Horrorverhalen, zoals die van bodybuilders die paranoïde worden en zich extreem lusteloos voelen buiten de gym, worden vaak genegeerd. Ook lijken (potentiële) gebruikers het niet erg te vinden dat veel bodybuilders een terugtrekkende haarlijn krijgen, waardoor ze vaak overstappen op een hanenkam, of dat ze meerdere keren per week naar de zonnebank moeten om hun rug te roosteren vanwege de ernstige acne veroorzaakt door de medicijnen. Dit alles lijkt ondergesneeuwd te raken door de afbeeldingen van grote spierbundels, die claimen dit bereikt te hebben dankzij testosteronboosters.
Belangrijk is om je bewust van te zijn van de eventuele risico’s die het met zich mee kan brengen. Testosteronsubstitutietherapie, in de vorm van injecties, pleisters, gelletjes, supplementen of welke vorm dan ook, kan de volgende risico’s met zich meebrengen:
Traditioneel werd aangenomen dat hormonen een dominante rol speelden in spieropbouw. Deze overtuiging was gebaseerd op het idee dat hormonen zoals testosteron, maar ook groeihormoon en insuline de belangrijkste bepalende factoren waren voor de ontwikkeling en groei van spieren. Onderzoek en sporttraining waren gericht op het manipuleren van deze hormonen, met als doel het optimaliseren van spiergroei en prestaties.
Echter, in de afgelopen jaren heeft er een verschuiving plaatsgevonden in dit traditionele perspectief. Wetenschappelijke vooruitgang en diepgaand onderzoek hebben aangetoond dat spieropbouw een complexer proces is, beïnvloed door een breed scala aan factoren.
Toch spelen veel bedrijven nog slim in op het verhogen van testosteron voor spiergroei, waarbij complete producten op de markt komen en worden aanbevolen met de belofte om je testosteron een flinke boost te geven, waarbij afbeeldingen en filmpjes worden getoond van extreem gespierde mannen.
Deze hysterische overdrijving slaat ook over op invloedrijke wetenschappers als Huberman Lab, die het gebruik van testosterontherapie aanmoedigt in zijn populaire podcast. Wanneer zelfs dit soort invloedrijke personen over het zogenaamde testosterontekort praten, beginnen veel mensen te geloven dat er een soort testosteroncrisis gaande is. Overal wordt geschreeuwd dat de testosteronspiegels van mannen flink verlaagd is, vergeleken met een aantal jaren geleden. Als oplossing worden testosteronboosters aangeprezen, maar er wordt vaak niks gezegd over het verhogen van je testosteron op natuurlijk wijze, of het aanpakken van het werkelijke probleem zoals het geval is bij gezondheidsziektes zoals obesitas.
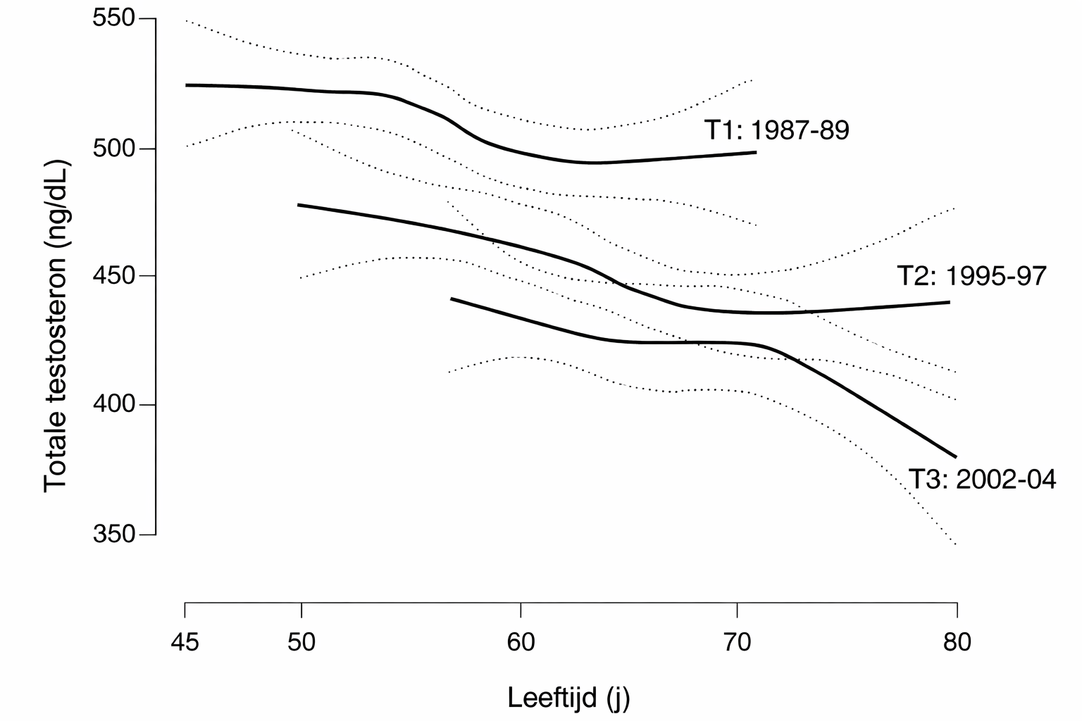
Toegeven moet worden dat er inderdaad een afneming te zien is in het testosterongehalte van volwassen mannen. Onderzoek toont aan dat de testosteronlevels van mannen boven de 60 een aantal jaren geleden hoger was, vergeleken met nu. Toch wordt de ernst van deze verlaging flink overdreven. Zo zou het gemiddelde testosteronniveau van een 60-jarige man in 1987 rond de 17,5 nmol/L zijn [21], terwijl dat in 2002 rond de 15 nmol/L was.
Een studie analyseerde data over een periode van meerdere decennia en ontdekte daarin een daling van testosteronniveaus bij mannen. In onderstaand figuur 1 wordt een overzicht gegeven van de gemiddelde testosteronconcentraties op basis van leeftijd over de jaren heen. Zoals je kunt zien, wijst dit op een relatief bescheiden afname van het gemiddelde testosterongehalte met de leeftijd. Ook is duidelijk te zien dat het testosterongehalte vanaf 1987 tot 2004 aardig wat is afgenomen. Het laat zien dat het testosterongehalte ongeveer met 17 en 20 ng/dl (0,6 en 0,7 nmol/liter) per 10 jaar afneemt op T1 en T2, en het gemiddelde verschil tussen bijvoorbeeld mensen van 65 jaar oud op T1 en T2 ongeveer 50 ng/dl (1.7nmol/liter) is [24].

Normale testosteronwaarden liggen bij volwassen mannen ergens tussen 8.7 en 29 nmol/L. Een tekort ligt onder de 8 nmol/L en een waarde boven de 12 nmol/L wordt als normaal beschouwd. Alles wat hier tussenin ligt is een twijfelgevalletje. Het kan soms wel, maar soms ook niet wijzen op een tekort. Dit dient een arts te controleren met meerdere bloedtesten [32].
Hoewel er dus een verlaging te zien is in het testosterongehalte van mannen, hebben gemiddelden nog niet het punt bereikt waarbij ze als ‘laag’ worden bestempeld voor de totale bevolking. In principe hoeven jonge mannen zich dus geen zorgen te maken over hun testosteronniveau, tenzij ze specifieke symptomen van een tekort ervaren.
Wanneer mannen op een bepaalde leeftijd komen, kan hun testosterongehalte in het lichaam afnemen. Uit onderzoek blijkt dat dit bij mannen al vanaf het 35e levensjaar daalt en ze vanaf hun 80e nog een scherpe daling meemaken [2]. Ook andere factoren zoals chronische ziekte, obesitas of een tekort aan voedingsstoffen kan invloed hebben op de afname van testosteron [3].
Bij mannen kun je een testosterontekort herkennen aan de volgende symptomen:
Het kan bij een aantal van deze symptomen ook dat ze worden veroorzaakt door andere factoren zoals bijwerkingen van medicijnen, diabetes, depressie, schildklierproblemen en slaapapneu. Het kan ook dat deze factoren een laag testosteronniveau veroorzaken, en behandeling van deze aandoeningen resulteert in een verhoging van het testosterongehalte. Door middel van een bloedtest kan worden gediagnosticeerd of iemand last heeft van een testosterontekort [20].
Niet iedereen reageert hetzelfde op verhoogde testosteron- of groeihormoonspiegels. Dit geeft dus aan dat genetische factoren ook een belangrijke rol spelen in spiergroei [17]. Sommige mensen hebben van nature een grotere aanleg voor spiergroei en reageren beter op training en hormonale invloeden dan anderen [25].
Ook trainingsmethoden hebben logischerwijs invloed op de mate van spieropbouw. Veruit de belangrijkste voorwaarde voor hypertrofie is het blootstellen van de spier aan mechanische spanning. Dit betekent dat je de spier zwaar genoeg moet trainen met het trainingsgewicht dat je gebruikt, zodat de spier voldoende vermoeid is. Mechanische spanning kan bereikt worden middels krachttraining in combinatie met het juiste volume. Volume wil zeggen: Gewicht X Sets X Herhalingen. Dit zorgt er namelijk voor dat je spieren de trainingsprikkel ontvangen die het groeiproces vervolgens in werking kan zetten.
De grootste mechanische spanning ontstaat bij de herhalingen voor spierfalen (je haalt “met moeite” het aantal herhalingen). We noemen dit ook wel effectieve herhalingen. Het zijn herhalingen waarbij ook de spiervezels met een hoge drempelwaarde gerekruteerd worden. Krachttraining stimuleert mechanische spanning en microschade aan spiervezels wat leidt tot spiergroei. Hormonale respons op training, zoals de vrijlating van testosteron, wordt beïnvloed door de intensiteit en volume van de oefeningen. Consistente krachttraining en weerstandsoefeningen kunnen je spiermassa vergroten, ongeacht je genetische aanleg [26].
Naast genen en het volgen van een effectief trainingsprogramma, is het ook aangetoond dat spieropbouw aanzienlijk wordt beïnvloed door voeding, omdat eiwitinname en calorie-inname de beschikbaarheid van bouwstenen voor spierherstel en –opbouw beïnvloeden. Hormonen zoals insuline worden beïnvloed door voeding en reguleren de opname van voedingsstoffen door spiercellen. Wij raden tussen de 1.6 en 2.2 gram eiwitten per kilogram lichaamsgewicht aan. Zorg ook voor genoeg energie om spiermassa op te bouwen. Voor de meeste mensen betekent dit het creëren van een klein calorie-overschot, wat we ook wel bulken noemen. Er zijn uitzonderingen op die regel: mensen met overgewicht, mensen die in het verleden getraind hebben en mensen die net starten met krachttraining.
Iets wat vaak nog wel eens wordt onderschat is het belang van rust en herstel. Voeg daarom naast je training ook voldoende rustperiodes toe na een training, aangezien de hormonale balans wordt ondersteund door voldoende rust en herstel na een intensieve training. Ook komt de grootste afscheiding van groeihormoon vrij zonder training, namelijk tijdens de slaap. Het groeihormoon speelt een rol bij spierherstel en -groei [12].
Deze factoren werken samen met hormonen en hebben een gecombineerd effect op het resultaat. Hoewel hormonen nog steeds een belangrijke rol spelen, wordt nu dus begrepen dat hun effecten worden gemodereerd door deze andere factoren [13]. Deze veranderende benadering leidt tot een meer holistische kijk op spieropbouw, waarbij de nadruk ligt op het begrijpen van de interactie tussen verschillende elementen. Dit wil niet zeggen dat hormonen zoals groeihormoon en testosteron helemaal geen waarde hebben. Waar het op neerkomt is dat, als ze al een bijdrage leveren aan spierhypertrofie, deze rol zeer beperkt is. Volgens een recente evaluatie door Brad Schoenfeld lijkt zelfs een voordeel van 8% te hoog ingeschat te zijn [18].
Ons voedingspatroon kan invloed hebben op de testosteronspiegels in ons lichaam. Zo zijn er meerdere onderzoeken gedaan naar wat het effect van zeer weinig koolhydraten, zoals bij low carb of ketogene diëten op testosteron heeft. Ook diëten met zeer weinig vet, of een voedingspatroon met zeer weinig calorieën is onderzocht. Hieruit kunnen we concluderen dat je extreme beperkingen en langdurige restricties in je dieet moet beperken, omdat deze kunnen leiden tot een verlaging van de testosteronspiegels. Laten we er eens wat dieper op ingaan.
Onderzoek toont aan dat koolhydraatarme diëten de testosteronspiegels significant verminderden bij mannen en vrouwen in rust. Ook extreme vetbeperking kan testosteron verlagen [7]. Diëten met zeer weinig vetten, leidden tot drastische verlagingen in totaal testosteron, vrij testosteron, dihydrotestoteron (DHT), en urine testosteron. Wanneer je ongeveer 20-35% van je caloriebudget uit vetten haalt, kan dit helpen om je testosterongehalte op peil te houden [8].
Toch lijken de dalingen in testosteron door deze koolhydraatarme of vetarme diëten niet groot genoeg om je echt zorgen te maken over het effect op lichaamssamenstelling of prestaties. Daarmee heeft het dus ook geen drastische impact op kracht of spiergroei. Dit is mogelijk alleen het geval bij mensen met al lagere testosteronniveaus [7] [8].
Om een verlaging van testosteron tegen te gaan, is het belangrijk om een goede verdeling van macronutriënten aan te houden in je voedingspatroon. Aanbevolen wordt:
Wanneer je caloriebudget aan de extreem lage kant zit, bijvoorbeeld tijdens het afvallen, wordt de volgende verdeling in macronutriënten aanbevolen:
Naast een beperking van koolhydraten of vetten, kan het eten van te weinig calorieën op zich ook leiden tot negatieve testosteronniveau. Dit hangt sterk af van het lichaamsgewicht en lichaamssamenstelling van de persoon. Zo lijkt een caloriebeperking bij mannen met overgewicht of obesitas juist positieve effecten te hebben op het testosteron. Dat terwijl een caloriebeperking er voor gezonde mannen met een normaal gewicht juist voor zorgt dat er een significante daling plaatsvond op het testosteron [11]. Het energietekort zal in dit geval erg groot zijn en weken moeten aanhouden om een grote daling in testosteron te zien [4].
Een vraag die vaak gesteld wordt, is of je testosteron kunt verhogen door je cholesterol inname via voeding te verhogen. De reden waarom een verhoogd cholesterol wordt gelinkt aan testosteron, is omdat cholesterol de belangrijkste bouwsteen is voor testosteron. Toch betekent dit niet automatisch dat het verhogen van cholesterol in je dieet of in je bloed ook zal leiden tot meer testosteron. Uit onderzoek blijkt namelijk dat het volgen van een dieet zonder cholesterol niet nadelig hoeft te zijn voor testosteron of spiergroei. Ons lichaam produceert bovendien voornamelijk zelf cholesterol, dus dit komt niet alleen uit voeding. Het bewijs naar het verhogen van de cholesterolinname voor testosteron en spiergroei is niet overtuigend genoeg, en weegt dan ook niet op tegen de bekende risico’s van een (te) hoog cholesterolgehalte voor je gezondheid [9].
We horen ook steeds meer geluid om ons heen dat cafeïne testosteron kan verlagen. Gezien het grote aantal personen dat de dag begint met een kop koffie, is het logisch dat deze bewering nogal wat paniek oplevert. Laten we daarom eens kijken naar een studie die dit heeft onderzocht.
Een studie genaamd NHAMES, onderzocht bij 372 mannen of cafeïne geassocieerd kan worden met lagere testosteronniveaus. Hoewel de onderzoekers denken dat de bevindingen die ze hebben gedaan, suggereren dat cafeïne kan bijdragen aan een lager testosterongehalte bij mannen, kan deze conclusie echt nog niet getrokken worden. Door een aantal tekortkomingen en inconsistente resultaten uit de studie is het moeilijk om conclusies te trekken. Er is dan ook onvoldoende bewijs om aan te nemen dat cafeïne testosteron kan beïnvloeden. De relatie tussen cafeïne en testosteron is complex en er is meer onderzoek nodig om duidelijkheid te krijgen over dit onderwerp [10]. Voorlopig lijkt er geen reden te zijn voor paniek dus.
Op medisch advies van een arts of dokter, kan het voor sommige personen handig zijn om testosterontherapie in te zetten. Hierbij dient echter wel eerst duidelijk te worden of het tekort aan testosteron niet een achterliggende oorzaak heeft. Een laag testosterongehalte komt ook vaak ergens anders vandaan. Veel gezondheidsziekten kunnen dan ook de oorzaak zijn van een testosterontekort. Behandel je deze aandoeningen en ziekten, dan merk je vaak dat de testosteronwaarden vanzelf weer verhogen. Het probleem ligt hem dan dus ook niet in het testosterontekort maar in de achterliggende aandoening, wat het tekort veroorzaakt.
Voor personen die volgens de richtlijnen geen testosterontekort hebben, maar door alle hysterie toch hun testosteron willen verhogen, is het echt niet aan te raden om testosterontherapie te gaan doen. Bovendien weten zij vaak niet dat er een aantal veel betere manieren zijn om de testosteronproductie op natuurlijke wijze te verhogen, waar geen testosteronbooster aan te pas komt.
Sporten kan je vele voordelen bieden als het gaat om het verhogen van je testosteron, of het tegengaan van een tekort. Denk er maar eens over na, veel gezondheidsaandoeningen zoals obesitas of overgewicht creëren juist een tekort aan testosteron. Zoals eerder als besproken is, kan het voor deze mensen dan ook gunstig zijn om gewicht te verliezen, om zo hun testosterongehalte te verhogen. Een gezond gewicht draagt namelijk bij aan een gezond testosteronniveau en overgewicht juist aan een laag testosteronniveau.
Bovendien draagt sporten, en dan vooral krachttraining, bij aan verhogen van het testosterongehalte. Natuurlijk zijn alle andere vormen van beweging ook effectief en gunstig voor het verhogen van testosteron, maar lijkt krachttraining hier nog een beter effect op te hebben. Ook leidt dit tot spiergroei, wat kan bijdragen aan een hoger testosterongehalte [33].
Chronisch slaaptekort, een veelvoorkomend probleem in onze moderne samenleving, kan de testosteronproductie aanzienlijk verminderen. Onderzoek toont aan dat een week van slaapbeperking (nachten van 5 uur per nacht) al tot een daling van 10 tot 15% in testosteronniveaus bij jonge mannen heeft geleid. Dit toont aan dat voldoende slaap dus cruciaal is wanneer je gezonde testosteronniveaus wilt behouden [36].
Wanneer jij last hebt van een testosterontekort, kan het zijn dat jouw lichaam essentiële voedingsstoffen mist. Denk hierbij aan magnesium, vitamine B, vitamine D en selenium. Een ander zeer belangrijk mineraal voor het behouden van een optimale hormoongezondheid is zink. Zink bevordert een gezonde spermakwaliteit, maar bovenal zorgt het ervoor dat het lichaam testosteron kan produceren [35].
Hou vooral een gezond en gevarieerd voedingspatroon aan. Een dieet rijk aan gezonde vetten kan het testosterongehalte verbeteren. Hierbij kun je rekening houden met de Daily en Weekly Essentials. Dit is de beste manier om je hormoonspiegels gezond te houden voor een gezond testosterongehalte. Eet niet té veel aangezien overgewicht juist een testosterontekort kan creëren, maar eet ook niet te weinig aangezien dit voor gezonde mensen ook een negatief effect kan hebben op testosteron.
Daily Essentials zijn veelal de producten die jou kunnen voorzien in nuttige voedingsstoffen zodat jij elke dag alle macro- en micronutriënten die je nodig hebt binnenkrijgt in de juiste hoeveelheden. Macronutriënten zijn vetten, eiwitten en koolhydraten. Koolhydraten en vetten zijn belangrijke bronnen van energie. Eiwitten worden ook wel de bouwstenen van het lichaam genoemd. Je hebt deze nutriënten in grotere hoeveelheden nodig. Vandaar ook de naam macro.
Micronutriënten zijn vitamines, mineralen, vezels en spoorelementen. Je hebt ze in kleinere hoeveelheden nodig (micro). Zowel de macro- als micronutriënten vervullen allerlei functies in het lichaam. Op een tekort zit je dus niet te wachten. Kijkend naar hun rol zijn vooral vitamine A, C, D, E, B2, B6, B11, B12, ijzer, selenium en zink belangrijke micro’s [38] [39].
De daily essentials
De weekly essentials
Ook stress heeft invloed op de testosteronproductie. Stress kan testosteron verminderen omdat het de hypothalamus-hypofyse-gondale (HPG)-as verstoort, wat de manier is waarop het lichaam de testikels aanstuurt om testosteron te produceren. Testosteron en het belangrijkste stresshormoon cortisol hebben een tegenovergestelde relatie. Als het cortisolniveau stijgt, dan daalt het testosteron. Stress kan trainingen zelfs minder effectief maken doordat het verhoogde cortisol kan zorgen voor een onderdrukking van testosteron. Wanneer je dus te lage testosteronwaarden hebt, kan dit een gevolg zijn van te veel stress in je lichaam [34] [37].
Verschillende stoffen blijken schadelijk te zijn voor testosteron. Bisfenol A (BPA) is één van de meest onderzochte schadelijke stoffen voor een laag testosteron. Een beperking van blootstelling aan dit soort schadelijke stoffen en chemicaliën gevonden in plastic, kan dan ook helpen om testosteron te verhogen [40].
Hoewel testosteron een belangrijke rol speelt in spieropbouw, is het belangrijk om te benadrukken dat het geen magische oplossing is en dat het optimaliseren van spiergroei een holistische benadering vereist, waarbij voeding, training, rust en genetische factoren allemaal in overweging worden genomen.
Bovendien is het gebruik van testosterontherapie voor gezonde mannen niet zonder risico. Testosterontherapie is op de markt gebracht om mannen met een tekort aan testosteron te kunnen behandelen, en zo problemen als een verminderd libido, depressie of minder energie te kunnen verhelpen. Het is niet op de markt gebracht om sneller spiermassa op te bouwen en dus resultaat te zien in de gym. Het gebruik van testosteronmedicijnen op deze manier, kan dan ook ernstige gevolgen met zich meebrengen. Mogelijke risico’s als acne, haaruitval, krimpende testikels of zelfs cardiovasculaire ziekten worden vaak genegeerd.
De hele hysterie rondom het zogenaamde testosterontekort, wordt bovendien flink overdreven. Een tekort vindt pas plaats wanneer je waarden onder de 8nmol/l liggen en dat heeft de gemiddelde man tegenwoordig nog niet bereikt. Geen reden tot paniek dus. Mocht je wel het gevoel hebben dat je te lage testosteronwaarden hebt, dan dien je dit altijd te laten controleren bij een arts door middel van meerdere bloedtesten. Ga niet klakkeloos op zoek naar testosteronboosters en laat je altijd behandelen door een medisch professional, in plaats van zelf op zoek te gaan naar medicijnen.
Bovendien gaat een testosterontekort vaak hand in hand met gezondheidsproblemen zoals overgewicht, diabetes of obesitas. Vaak zie je dan ook dat een behandeling voor deze medische gevallen gelijk ook het testosterontekort aanpakt. Het kan dus zo zijn dat jij extreem focust op het verhogen van je testosteron, terwijl je beter kunt focussen op een gezond gewicht en een gezond lichaam.
Zowel vetarme als koolhydraatarme diëten kunnen testosteron verlagen. Om die reden is een uitgebalanceerd voedingspatroon dan ook zeer belangrijk. Denk hierbij aan de verdeling van macronutriënten, waarbij je voldoende koolhydraten, vetten en eiwitten binnenkrijgt. Extreem beperkende diëten, of het nu om koolhydraten of om vetten gaat, moeten vermeden worden om een optimale gezondheid te behouden en fysieke resultaten te kunnen bereiken.